Funktionelle grupper    
 
Stofklasse Funktionel gruppe Gruppens navn Forstavelse (prefix) Endelse (suffix) Bemærkning    
Carboxylsyre
Organisk kemi - funktionelle grupper Flashcards | Quizlet
carboxylgruppe carboxy  -syre      
Ester
Ester (kemi) - Wikipedia, den frie encyklopædi,Ester (kemi) - Wikipedia, den frie encyklopædi,Ester (kemi) - Wikipedia, den frie encyklopædi
Ester (kemi) - Wikipedia, den frie encyklopædi
estergruppe  (R)oxycarbonyl  -oat   må ikke være et H    
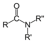
Amid
Amid - Wikipedia
amidgruppe amido-  -amid      
Aldehyd
Organisk kemi funktionelle grupper + reaktionstyper 3gKE Flashcards |  Quizlet
carbonylgruppe oxo (når C=0 indgår i hovedkæden)  -al      
Aldehyd
Organisk kemi funktionelle grupper + reaktionstyper 3gKE Flashcards |  Quizlet
carbonylgruppe formyl (Når C=O ikke indgår i hovedkæden)  -al      
Keton
Hvad er en carbonylgruppe i kemi?
carbonylgruppe oxo  -on R1 eller R2  må ikke være et H
Alkohol
Hvad kaldes OH funktionel gruppe?
hydroxygruppe hydroxy  -ol R skal indeholde carbon    
Phenol
Organisk kemi - funktionelle grupper Flashcards | Quizlet
hydroxygruppe hydroxy  -ol      
Amin
Gennemgang af organiske funktionelle grupper
aminogruppe amino  -amin      
Alkyn RCºCR alkynylgruppe alkynyl  -yn      
Alken
Funktionelle grupper | Flashcards
alkenylgruppe alkenyl  -en